Mathematics: Facts, news, features and articles about counting, equations, and infamous unsolved problems
Latest about Mathematics

Tau Day: Should Pi Be Downgraded?
By Tia Ghose published
While many math nerds swoon over pi, the unsung hero of circular math is tau, which relates a circle's circumference to its radius, some have argued.

Irrational Partying: Happy Pi Day!
By Stephanie Pappas published
Today, March 14, is the math lover's celebration of everyone's favorite irrational number, pi. Here's what's so special about the neverending irrational number and ways to celebrate.

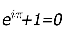
Euler’s Identity: 'The Most Beautiful Equation'
By Robert Coolman published
Euler's Identity is a remarkable equation that comprises the five most important mathematical constants.

What Is Topology?
By Robert Coolman published
Topology is a branch of mathematics that describes mathematical spaces, in particular the properties that stem from a space’s shape.

Properties of Pascal’s Triangle
By Robert Coolman published
Pascal's triangle, a simple yet complex mathematical construct, hides some surprising properties related to number theory and probability.

What Is Symmetry?
By Robert Coolman published
In geometry, an object exhibits symmetry if it looks the same after a transformation, such as reflection or rotation. Symmetry is important in art, math, biology and chemistry.

What Is Trigonometry?
By Robert Coolman published
Trigonometry is a branch of mathematics that studies relationships between the sides and angles of triangles.

What Are Logarithms?
By Robert Coolman published
A logarithm determines how many times a certain number must be multiplied by itself to reach another number.
Get the world’s most fascinating discoveries delivered straight to your inbox.


